XVAR

ANSI DB2 SQL/DS XDB
      X

An XDB Server statistical function used for finding the variance of a column of data. The format appears below:

XVAR(x)

where x is a column name. The parameter x must be a numeric field.

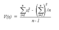
Note that XVAR(x) is the same as (XSTDDEV(x))E+2. The formula used for computing variance is:


Formula for variance